返回列表 发布新帖

【欧元美元】多空混战,按1楼规则办!

 火..

评论2998

小索楼主Lv.1 发表于 2013-8-21 20:04 | 查看全部
https://www.y2cn.com
诱空?难道欧元还能继续霸道啊
云海 发表于 2013-8-21 19:48



    搞不准 准备在21点后抓阄蒙一单。
2015 成长
回复 点赞

使用道具 举报

踏青Lv.3 发表于 2013-8-21 20:05 | 查看全部
回复 1755# 小索


    。。。。。索兄准备蒙哪?
回复 点赞

使用道具 举报

云海Lv.64 发表于 2013-8-21 20:33 | 查看全部
搞不准 准备在21点后抓阄蒙一单。
小索 发表于 2013-8-21 20:04


啥位置介入,偶跟
虚心学习,市场风云变幻
回复 点赞

使用道具 举报

踏青Lv.3 发表于 2013-8-21 20:53 | 查看全部
收到8888
回复 点赞

使用道具 举报

云海Lv.64 发表于 2013-8-21 21:05 | 查看全部
小索介入了没呢
虚心学习,市场风云变幻
回复 点赞

使用道具 举报

踏青Lv.3 发表于 2013-8-21 22:31 | 查看全部
太困了。。单子挂好。。不等了。。。。索兄晚安哈。。
回复 点赞

使用道具 举报

踏青Lv.3 发表于 2013-8-22 05:25 | 查看全部
索兄,睡醒起来看了一会,单子挂上了,盘面感觉不大对劲,太诡异,心里感觉不舒服,总觉得明后天的走势会非常坑,水平不行止损位设不好,因此把单子+5个点平了。。太困了。。随便吐槽一下今晚的欧元,简直是个大阴逼。。去睡了。。
回复 点赞

使用道具 举报

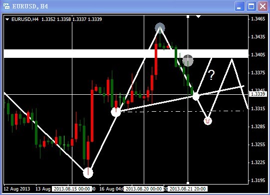
小索楼主Lv.1 发表于 2013-8-22 07:27 | 查看全部
本帖最后由 小索 于 2013-8-22 09:11 编辑



    早起 48跳的车

昨日焦点在13400(16)区真假突破;
H4自13400~13451可知晚间21~1:00为转换时效;无奈走高乏力(欣赏它的轴劲儿)并以阴线报收,这是判定假突破的关键;
在回顾13416~13400以来周线结构符合折返均衡特征,那么由此带来的下落低点13205(下周一时效)将是回落的关键参考,而直
达的障碍在13310/8.16低点(自13451回落以来的第二道支撑),时效为17~21:00,时效前支撑有(13280,13300)及H413310
与13314(23)连线
QQ图片20130822081127.jpg
2015 成长
回复 点赞

使用道具 举报

夜阑纹平Lv.8 发表于 2013-8-22 07:27 | 查看全部
索兄早 欧元的2已经到位 还有3或者直接1b就看今明哦
请教索兄对澳元的看法
回复 点赞

使用道具 举报

踏青Lv.3 发表于 2013-8-22 08:16 | 查看全部
回复 1762# 小索


    刚起来就看到索兄分析了,真幸福啊
回复 点赞

使用道具 举报

回复

本版积分规则

关灯 在本版发帖
扫一扫添加微信客服
QQ客服返回顶部
快速回复 返回顶部 返回列表