返回列表 发布新帖

本周(EUR.GBP.CHF........)岁月无声!

评论2808

临界点Lv.3 发表于 2005-7-8 13:17 | 查看全部
https://www.y2cn.com

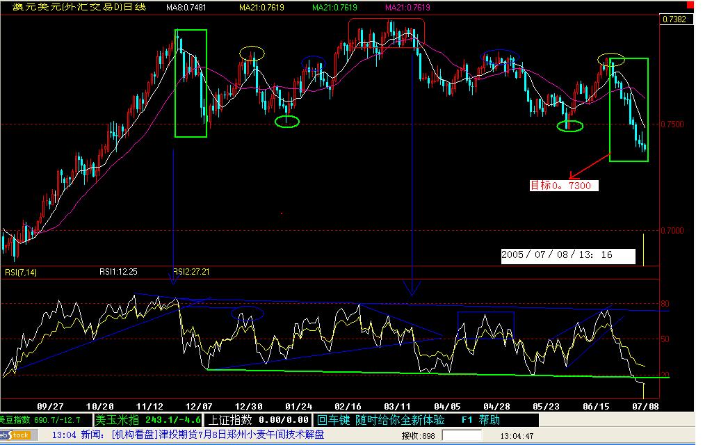
小析澳元

小析澳元司令帮看看!。目标0。7300

[ 本帖最后由 临界点 于 2005-7-8 13:18 编辑 ]



===================================
Y2.CN 外汇论坛 标准报价
暂无数据
===================================

[ 本帖最后由 临界点 于 2005-7-8 13:20 编辑 ]。
澳元天图.JPG
回复 点赞

使用道具 举报

wu2198楼主Lv.65 发表于 2005-7-8 13:20 | 查看全部
原帖由 wss 于 2005-7-8 13:07 发表
司令昨日的多瑞还在吗?。


12985的--------在.。
汇海无涯.势在心中.风险严控!!
回复 点赞

使用道具 举报

hiiigoLv.1 发表于 2005-7-8 13:25 | 查看全部
请问司令,昨天EUR1。2038的多单还能保留吗,我止损设了200点,哎,进场机会没把握好啊?谢谢司令了,我是第一次向您请教。
回复 点赞

使用道具 举报

whywhywhyyLv.3 发表于 2005-7-8 13:27 | 查看全部
原帖由 hiiigo 于 2005-7-8 13:25 发表
请问司令,昨天EUR1。2038的多单还能保留吗,我止损设了200点,哎,进场机会没把握好啊?谢谢司令了,我是第一次向您请教。

我和你相反我空了
每仑重仓必发哮喘
回复 点赞

使用道具 举报

壁虎Lv.8 发表于 2005-7-8 13:27 | 查看全部
原帖由 临界点 于 2005-7-8 13:17 发表
小析澳元司令帮看看!。目标0。7300

[ 本帖最后由 临界点 于 2005-7-8 13:18 编辑 ]



===================================
Y2.CN 外汇论坛 标准报价[/ ...

临界MM你的是什么看盘软件?。
天天想吃鱼
回复 点赞

使用道具 举报

wu2198楼主Lv.65 发表于 2005-7-8 13:29 | 查看全部
原帖由 hiiigo 于 2005-7-8 13:25 发表
请问司令,昨天EUR1。2038的多单还能保留吗,我止损设了200点,哎,进场机会没把握好啊?谢谢司令了,我是第一次向您请教。


你这是典型的追单,一般说追单损位一般是设30/50点.

如今跌破11880要控制好风险.如按中线的话还可留守.。
汇海无涯.势在心中.风险严控!!
回复 点赞

使用道具 举报

临界点Lv.3 发表于 2005-7-8 13:31 | 查看全部
原帖由 壁虎 于 2005-7-8 13:27 发表

临界MM你的是什么看盘软件?。

国内的期货软件!文化财经。
回复 点赞

使用道具 举报

wu2198楼主Lv.65 发表于 2005-7-8 13:31 | 查看全部
[quote]原帖由 临界点 于 2005-7-8 13:17 发表
小析澳元司令帮看看!。目标0。7300

[ 本帖最后由 临界点 于 2005-7-8 13:18 编辑 ]



7350/60会有短支持.能否到你说的7300我估计要看晚上的美国数据.。
汇海无涯.势在心中.风险严控!!
回复 点赞

使用道具 举报

壁虎Lv.8 发表于 2005-7-8 13:32 | 查看全部
原帖由 临界点 于 2005-7-8 13:31 发表

国内的期货软件!文化财经。

免费的?。
天天想吃鱼
回复 点赞

使用道具 举报

阿朱Lv.10 发表于 2005-7-8 13:36 | 查看全部
原帖由 tim990705 于 2005-7-8 11:47 发表
阿朱MM不要怕,还有我陪你呢,我还有0.4手(我是MINI),平均成本1.4930.我就打算抗着了,就不信甲鱼能一直硬下去.
我还有好多JPY呢.哎.......。





谢谢你的理解和鼓励,我想这时候能这样对我说话的才是真正的同胞啊,感动ING~~
回复 点赞

使用道具 举报

回复

本版积分规则

关灯 在本版发帖
扫一扫添加微信客服
QQ客服返回顶部
快速回复 返回顶部 返回列表