返回列表 发布新帖

依然喜欢你----保证金(第44周)

评论1410

wolfupcLv.8 发表于 2006-3-8 19:19 | 查看全部
https://www.y2cn.com
智能交易怎样提醒你???
谁会使用智能交易?〉???
狼之天堂:犯强汉者,虽远必诛!
回复 点赞

使用道具 举报

蓝胡子Lv.3 发表于 2006-3-8 19:42 | 查看全部
原帖由 zhengqian 于 2006-3-8 19:00 发表

偶想知道怎样入市抓反弹?入市点在那里?


呵呵,这也是我想请教你的啊。。。
主宰自己,主宰市场。
回复 点赞

使用道具 举报

skymoonLv.8 发表于 2006-3-8 20:05 | 查看全部
你试试看?
伤自尊了
回复 点赞

使用道具 举报

cashmere楼主Lv.64 发表于 2006-3-8 20:13 | 查看全部
原帖由 skymoon 于 2006-3-8 20:05 发表
你试试看?

h:h:猫哪儿去啦?最近做的好吗?
回复 点赞

使用道具 举报

cashmere楼主Lv.64 发表于 2006-3-8 20:46 | 查看全部
原帖由 zhengqian 于 2006-3-8 17:35 发表
这样的底怎样抓?什么时间是介入的良机?
无论是RSI,还是趋势突破就没有回调产生。
欢迎大家讨论

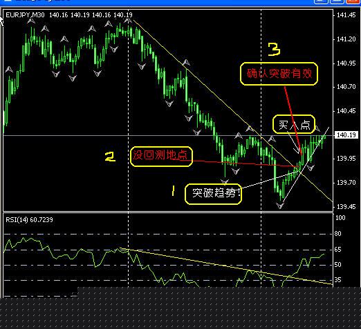
大龙,我仔细的看了图,按我的理解画了一下,是利用123法则.大趋势是下跌,中趋势是上涨,当两条趋势线交叉时,按大趋势线理解.你看对不对?

h:
Snap1_1gRkH0W1q7h6.jpg
回复 点赞

使用道具 举报

smi1949Lv.8 发表于 2006-3-8 21:11 | 查看全部
原帖由 cashmere 于 2006-3-8 20:46 发表

大龙,我仔细的看了图,按我的理解画了一下,是利用123法则.大趋势是下跌,中趋势是上涨,当两条趋势线交叉时,按大趋势线理解.你看对不对?

h:

很有钻研精神!
回复 点赞

使用道具 举报

yidiLv.10 发表于 2006-3-8 21:16 | 查看全部
RSI入场,应用456法则

[ 本帖最后由 yidi 于 2006-3-8 21:20 编辑 ]
Snap1_1gRkH0W1q7h6.jpg
能多则多能空则空
回复 点赞

使用道具 举报

smi1949Lv.8 发表于 2006-3-8 21:23 | 查看全部
原帖由 yidi 于 2006-3-8 21:16 发表
RSI入场,应用456法则

又多了一种思路!
回复 点赞

使用道具 举报

cashmere楼主Lv.64 发表于 2006-3-8 21:26 | 查看全部
原帖由 smi1949 于 2006-3-8 21:11 发表

很有钻研精神!

h:狗熊披棒子------瞎掰!
回复 点赞

使用道具 举报

smi1949Lv.8 发表于 2006-3-8 21:30 | 查看全部
可偶还是觉得1分钟图的好!
回复 点赞

使用道具 举报

回复

本版积分规则

关灯 在本版发帖
扫一扫添加微信客服
QQ客服返回顶部
快速回复 返回顶部 返回列表