设为首页
收藏本站
商务合作联系微信/QQ:771081939
金股汇论坛
Portal
喊单
Group
广播
Follow
视频
动态
Space
新闻
报价
量化交易
排行榜
Ranklist
登录
注册审核通过,发送账户名称给版主,请加版主微信:1044631611
金股汇论坛(Y2论坛)
»
导航
›
外汇走势分析,外汇行情咨询与讨论
›
现场直播室
›
09年7月做单记录
1 ...
6
7
8
9
10
11
12
13
14
... 31
/ 31 页
下一页
返回列表
发布新帖
09年7月做单记录
电梯直达
评论
302
ZZ123
楼主
Lv.10
发表于 2009-7-7 21:49
|
查看全部
差点扫止损呀
现在平价保护
ZZ123 发表于 2009-7-7 21:29
登录/注册后可看大图
欧元现价3987平仓,小农一下
火爆!鲨版来了
回复
点赞
使用道具
举报
显身卡
ZZ123
楼主
Lv.10
发表于 2009-7-7 21:55
|
查看全部
EG上破8650的话,磅磅还是最弱的
回复
点赞
使用道具
举报
显身卡
ZZ123
楼主
Lv.10
发表于 2009-7-7 22:43
|
查看全部
3960为止损现价3985多欧
回复
点赞
使用道具
举报
显身卡
ZZ123
楼主
Lv.10
发表于 2009-7-7 23:37
|
查看全部
欧元澳元全部没了
回复
点赞
使用道具
举报
显身卡
ZZ123
楼主
Lv.10
发表于 2009-7-7 23:46
|
查看全部
磅磅止损。睡觉了
回复
点赞
使用道具
举报
显身卡
ZZ123
楼主
Lv.10
发表于 2009-7-8 11:21
|
查看全部
等待6200左右空英镑
回复
点赞
使用道具
举报
显身卡
ZZ123
楼主
Lv.10
发表于 2009-7-8 12:22
|
查看全部
一直看不懂美日这个货币对。不过如果下破93.50的话,个人倾向于向79.80发展。
回复
点赞
使用道具
举报
显身卡
ZZ123
楼主
Lv.10
发表于 2009-7-8 12:23
|
查看全部
再来张月图
回复
点赞
使用道具
举报
显身卡
ZZ123
楼主
Lv.10
发表于 2009-7-8 15:28
|
查看全部
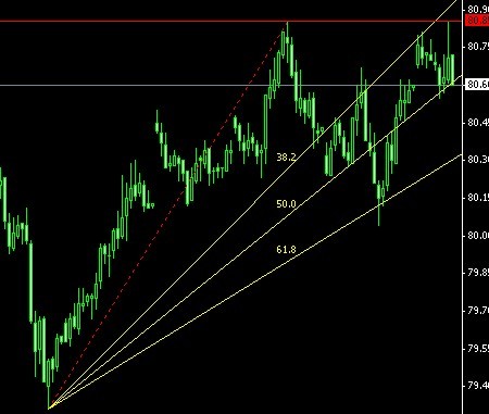
美指还是没有越过80.90
回复
点赞
使用道具
举报
显身卡
ZZ123
楼主
Lv.10
发表于 2009-7-8 16:07
|
查看全部
搞个叉盘试试,现价5150多欧瑞,30点止损
回复
点赞
使用道具
举报
显身卡
1 ...
6
7
8
9
10
11
12
13
14
... 31
/ 31 页
下一页
返回列表
发布新帖
回复
高级模式
B
Color
Image
Link
Quote
Code
Smilies
您需要登录后才可以回帖
登录
|
注册审核通过,发送账户名称给版主,请加版主微信:1044631611
本版积分规则
发表回复
回帖并转播
回帖后跳转到最后一页
ZZ123
楼主
+ 关注
发消息
09年7月做单记录
2009-07-01
做单记录
2009-06-04
图文热点
2026.2.13 图文交易计划:美指持续震荡 等
1518 人气
#黄金外汇论坛
2026.2.12 图文交易计划:多头持续挺进 澳
1397 人气
#黄金外汇论坛
2026.2.11 图文交易计划:磅加坚决阴线 适
1662 人气
#黄金外汇论坛
2026.2.10 图文交易计划:美瑞大幅下跌 等
1551 人气
#黄金外汇论坛
上一主题
下一主题
浏览过的版块
黄金外汇论坛
黄金 白银
日元 JPY
欧元 & 瑞郎
关灯
在本版发帖
扫一扫添加微信客服
QQ客服
返回顶部
快速回复
返回顶部
返回列表