设为首页
收藏本站
商务合作联系微信/QQ:771081939
金股汇论坛
Portal
喊单
Group
广播
Follow
视频
动态
Space
新闻
报价
量化交易
排行榜
Ranklist
登录
注册审核通过,发送账户名称给版主,请加版主微信:1044631611
金股汇论坛(Y2论坛)
»
导航
›
外汇走势分析,外汇行情咨询与讨论
›
黄金外汇论坛
›
黄金 白银
›
徐景中:央行利率决议乐章奏响 伦敦金挣脱樊笼冲破天际 ...
返回列表
发布新帖
徐景中:央行利率决议乐章奏响 伦敦金挣脱樊笼冲破天际
836
0
雨出生于天
Lv.2
发表于 2017-9-7 19:14
|
查看全部
阅读模式
消息面解读:
周三下午特朗普称,军事打击朝鲜并非他的第一选择,他与习 近 平主席有一次“非常、非常坦率的”通话,“我们要看看朝鲜会发生什么。”该行为缓和美朝关系。此外,特朗普与国会领导层达成共识,批准飓风Harvey灾后援助计划和上调债务上限措施,同意政府融资议案方面的权宜之计。将政府融资和债务上限措施都延长至12月15日。同时周四金融市场将迎来“央行超级周”的最大看点。北京时间周四晚间19:45,欧洲央行将公布利率决议,同时让金融市场“闻风丧胆”的“超级马里奥”也将登场。对于备受关注的QE缩减问题,德拉吉究竟是否会透露口风?可以预见的是,在欧银决议后以及德拉吉新闻发布会期间,市场势必会出现巨大波动,金融市场“狂风暴雨”将至。
技术面解析:
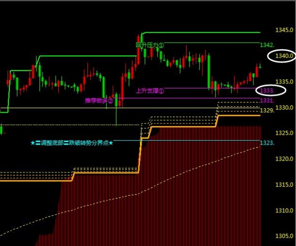
黄金周三白盘一直维持1342-1336区间震荡,直至凌晨时段美元走高,黄金此前获得的收益开始回吐,最低下探至1331.48美元,黄金上涨动能减弱,重挫了黄金多头。今日早间黄金开盘于1334附近,后一直处于窄幅震荡之中,欧盘时刻,黄金幔涨至1339一线,短期在避险情绪消退的情况下,黄金可能暂时无法突破1345一线压制。从日线图来看,黄金价格运行于布林带中上轨之间MA5均线附近,布林带开口上行,MACD快慢线金叉上行放缓有向右走平之势,红色动能柱逐步缩量,目前金价依旧受到布林带上轨1345一线的压制,黄金多头趋势暂时放缓,短周期陷入区间整理走势当中,但整体仍然是一个的多头格局,静待突破;从四小时图来看,黄金价格于布林带中上轨之间震荡运行,MACD快慢线死叉形成,短线回落修复;从日线图来看,上个交易日收取一根阳柱,前一日高开缺口被完美填补了,目前黄金价格运行于布林带上轨下方,布林带开口扩张,预计会维持震荡偏上的走势格局继续运行,从一小时图来看,黄金价格突破布林带中轨运行于中下轨之间,布林带开口走缓,MACD快慢线死叉形成,绿色动能柱放量,短线仍有小幅回落的需求,下方站稳后继续进多。操作上高空低多。
今日操作策略:
1:欧盘黄金价格回落1330-1328做多,止损1324,目标1336-1338;
2:欧盘黄金价格跌破1330回落至1325-1328做多,止损1320,目标1336-1338;
3:欧盘黄金价格反弹至1338-1340做空,止损1345,目标1330-1332。
火爆!鲨版来了
回复
转播
使用道具
举报
提升卡
置顶卡
沉默卡
喧嚣卡
变色卡
显身卡
返回列表
发布新帖
回复
高级模式
B
Color
Image
Link
Quote
Code
Smilies
您需要登录后才可以回帖
登录
|
注册审核通过,发送账户名称给版主,请加版主微信:1044631611
本版积分规则
发表回复
回帖并转播
回帖后跳转到最后一页
雨出生于天
Lv.2 江湖新秀
164
主题
-7
回帖
154
积分
+ 关注
发消息
徐景中:现货黄金突破新高 伦敦金高位持稳偏涨上行
2018-11-19
徐景中:黄金隔夜触底反弹 伦敦金连阴终结短线上扬
2018-11-15
徐景中:黄金区间震荡蓄势 伦敦金短线走强双底上涨
2018-09-14
徐景中:美联储加息初临曙光 伦敦金强压回踩触底反弹
2018-09-11
徐景中:黄金静待非农打破区间 伦敦金陷入窄幅震荡
2018-09-07
查看更多
图文热点
2026.4.14 图文交易计划:镑美突破压制 打
690 人气
#黄金外汇论坛
2026.4.13 图文交易计划:美指持续震荡 短
670 人气
#黄金外汇论坛
2026.4.10 图文交易计划:镑日突破压制 结
964 人气
#黄金外汇论坛
2026.4.9 图文交易计划:美指明显反弹 短期
893 人气
#黄金外汇论坛
上一主题
下一主题
浏览过的版块
黄金外汇论坛
现场直播室
投资理财---综合区
日元 JPY
欧元 & 瑞郎
有问必答
关灯
在本版发帖
扫一扫添加微信客服
QQ客服
返回顶部
快速回复
返回顶部
返回列表