返回列表 发布新帖

欧元的看法...

 
1435 3
快乐人间123 发表于 2004-7-16 17:47 | 查看全部 阅读模式
https://www.y2cn.com
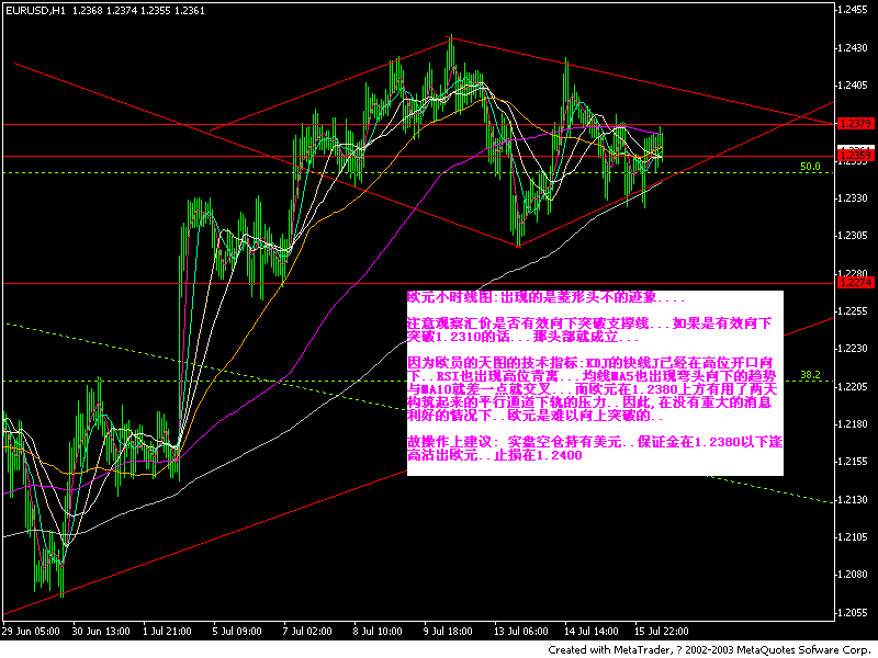
以下是欧元的小时图..

其已经出现了头部迹象...其它如英镑,瑞郎也有类似的现象出现..因此..持有非美者要提高警惕..

因为非美到现在为止的涨幅较大...调整是必不可免的..只是调整的形式如何...幅度如何都是将发生的事..难以推测....也不必猜想....最好是保住手里的成果...等待下次的机会....
欧元7.15.GIF

评论3

Lv.3 发表于 2004-7-16 18:03 | 查看全部
从图中可以看到一个菱形和一个三角形,但菱形还没有构筑成,而三角形就已经构筑成了,现在正选择突破方向,个人认为今晚她会向上突破,目标:1.2425以上   (大家认为呢?)
回复 点赞

使用道具 举报

等待Lv.2 发表于 2004-7-16 19:26 | 查看全部
支持~~~
回复 点赞

使用道具 举报

biangzLv.3 发表于 2004-7-16 19:34 | 查看全部
Originally posted by at 2004-7-16 06:03 PM:
从图中可以看到一个菱形和一个三角形,但菱形还没有构筑成,而三角形就已经构筑成了,现在正选择突破方向,个人认为今晚她会向上突破,目标:1.2425以上   (大家认为呢?)


希望如此!
想赚钱就要不怕套!
回复 点赞

使用道具 举报

回复

本版积分规则

关灯 在本版发帖
扫一扫添加微信客服
QQ客服返回顶部
快速回复 返回顶部 返回列表