返回列表 发布新帖

依然喜欢你---保证金(第36周)

评论1055

kevinwallaceLv.10 发表于 2006-1-15 11:59 | 查看全部
https://www.y2cn.com
原帖由 zhengqian 于 2006-1-15 11:36 发表

不要有太大的情绪变化,心态稳定很重要,激动了就容易失误
祝你成功!!!


谢谢,这个月已经和领导说了要走,工作不多,正在严格控制各种纪律和培养习惯,并且和父母也一再有沟通
What is important?

活到老,学到老
回复 点赞

使用道具 举报

sequentialLv.3 发表于 2006-1-15 12:10 | 查看全部
各位有抓住GBP/JPY的势头吗?现在还可以进场的!!!
回复 点赞

使用道具 举报

yuyuglobal 发表于 2006-1-15 13:02 | 查看全部
提示: 作者被禁止或删除 内容自动屏蔽
签名被屏蔽
回复 点赞

使用道具 举报

yuyuglobal 发表于 2006-1-15 13:11 | 查看全部
提示: 作者被禁止或删除 内容自动屏蔽
签名被屏蔽
回复 点赞

使用道具 举报

sequentialLv.3 发表于 2006-1-15 13:20 | 查看全部
原帖由 yuyuglobal 于 2006-1-15 13:11 发表
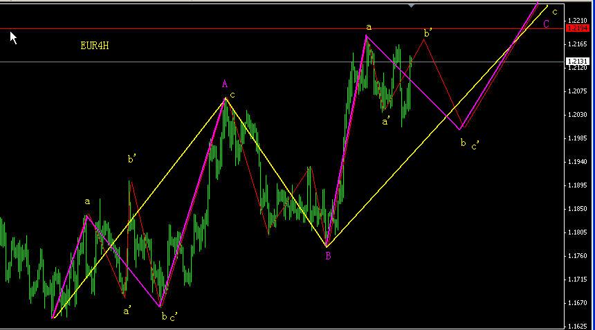
如果浪正确,那么c浪底(天图4浪底),是最后一次实盘的绝佳机会^_^ 保也可以做长线了


老兄,我看不懂波浪,但我相信你的是分析EUR会有调整吧?我的系统同样有这样的提示,但还没有出现信号,如果你分析一下CHF,GBP都会有调整的信号待发,个人认为EUR目前最大压力在1.2150左右,之后过了的话就要看滤网产生的关键了
eurusd.gif
回复 点赞

使用道具 举报

sequentialLv.3 发表于 2006-1-15 13:28 | 查看全部
GBP/JPY的压力个人分析在第一203.69 重要在 204.98,现在还可以适当追渣,随便说说而已
回复 点赞

使用道具 举报

zhengqianLv.1 发表于 2006-1-15 21:11 | 查看全部
原帖由 sequential 于 2006-1-15 12:10 发表
各位有抓住GBP/JPY的势头吗?现在还可以进场的!!!

谢谢提醒,我想在回调时介入,不知有没有回调?
回复 点赞

使用道具 举报

zhengqianLv.1 发表于 2006-1-15 21:52 | 查看全部
原帖由 yuyuglobal 于 2006-1-15 13:02 发表
大龙,c兄看看我的浪是否正确?

讨论中
11.JPG
12.JPG
13.JPG
回复 点赞

使用道具 举报

雨星Lv.2 发表于 2006-1-15 22:01 | 查看全部
有好几天没来了。大家好呀。又赚了吧。
回复 点赞

使用道具 举报

zhj0313Lv.10 发表于 2006-1-15 23:37 | 查看全部
原帖由 cashmere 于 2006-1-14 19:38 发表

h:Rien est impossible !

我在你后边就行了!h:

狼来了
回复 点赞

使用道具 举报

回复

本版积分规则

关灯 在本版发帖
扫一扫添加微信客服
QQ客服返回顶部
快速回复 返回顶部 返回列表